Ponad 7500 artykułów dostępnych bezpośrednio w magazynie
Twój partner w astronomii
Astrofotografia > Aparaty fotograficzne > Aparaty do astrofotografii > QHY > QHY Aparat fotograficzny 5III 568C Color
Numer produktu: 82776

Aparat fotograficzny 5III 568C Color

w dłuższym terminie
Artykuł już niedostępny + czas przesyłki
  • Czuła na światło kamera kolorowa o rozdzielczości 2,74 µm
  • Sony IMX568-CMOS
  • Idealny do fotografowania Księżyca, planet i prowadzenia

Opis artykułu

Aparat fotograficzny 5III568M/C firmy QHY to aparat fotograficzny planetarny i prowadzący z najnowszej serii 5III V2. Dzięki technologii podświetlenia tylnego (BSI) jest ona szczególnie czuła. Wykorzystuje globalną migawkę i obsługuje prawdziwe binning sprzętowe. Osiąga bardzo wysoką prędkość 304 klatek na sekundę przy rozdzielczości bliskiej 1080p.

Aparat fotograficzny można łatwo podłączyć do 1,25-calowego wyciągu okularowego.

BSI, struktura CMOS z tylnym podświetleniem:

Jedną z zalet struktury CMOS z tylnym oświetleniem jest zwiększona czułość. W przypadku klasycznego sensora z tylnym oświetleniem, Photony wpadające do warstwy światłoczułej sensora muszą najpierw przejść przez metalowe okablowanie znajdujące się bezpośrednio nad warstwą światłoczułą. Struktura okablowania odbija część Photonów i zmniejsza wydajność czujnika.

W przypadku czujnika z tylnym oświetleniem, światło może przenikać przez warstwę światłoczułą od tyłu. W tym przypadku okablowanie wbudowane w czujnik znajduje się poniżej warstwy światłoczułej. W rezultacie więcej padających Photonów trafia w warstwę światłoczułą.

Stosunek Photonów do wygenerowanych elektronów jest określany jako wydajność kwantowa. Im wyższa wydajność kwantowa, tym skuteczniej czujnik przekształca fotony w elektrony i tym bardziej jest czuły.

Migawka globalna:

W przeciwieństwie do technologii rolling shutter stosowanej w większości aparatów fotograficznych CMOS, migawka globalna gwarantuje, że czas naświetlania jest jednolity dla całego obszaru obrazu, tj. zaczyna się i kończy dokładnie w tym samym momencie. Ta migawka kamery jest idealna do zastosowań wymagających wysokiej precyzji. W przypadku obiektów poruszających się z dużą prędkością i ruchów atmosferycznych, migawka globalna może generować niezakłócone obrazy i zapewniać wysoką jakość obrazu.

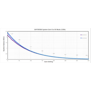
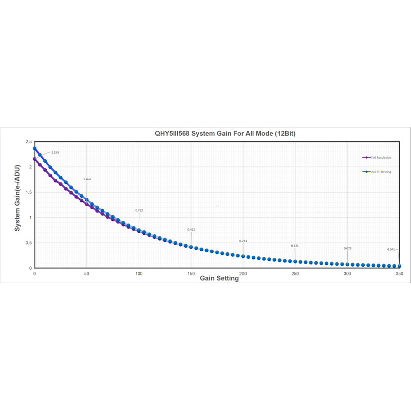
Sprzętowy binning:

W przeciwieństwie do większości aparatów fotograficznych CMOS, kamera obsługuje binning w domenie ładunku (FD binning), prawdziwy sprzętowy binning pikseli, taki jak w kamerach CCD.

W przeszłości tylko czujniki CCD były zdolne do binningu sprzętowego. Większość aparatów fotograficznych CMOS korzystała z binningu cyfrowego, który opiera się na algorytmach binningu. Wadą tej metody binningu (na przykładzie binningu 2*2) jest to, że chociaż sygnał jest wzmacniany czterokrotnie, dodawana jest dwukrotnie większa ilość szumu, co prowadzi jedynie do podwojenia stosunku sygnału do szumu. Z kolei w przypadku binningu sprzętowego nie są wzmacniane żadne dodatkowe szumy, co prowadzi do czterokrotnej poprawy stosunku sygnału do szumu. Ponadto częstotliwość odświeżania obrazu może zostać znacznie zwiększona, nawet jeśli funkcja ROI nie jest aktywna. (ROI = region zainteresowania)

ROI framerate

  • 1920X1080: @8Bit 115.6fps, @16Bit 62.1fps
  • 800X600: @8Bit 187.2fps, @16Bit 100.5fps
  • 480X480: @8Bit 221.2fps, @16Bit 118.5fps
  • 1236X1032: @8Bit 304fps, @16Bit 152fps
  • 800X600: @8Bit 439.6fps, @16Bit 221.9fps
  • 480X480: @8Bit 519.6fps @16Bit 262.8fps

512MB DDR3:

Wewnętrzny bufor obrazu 512MB DDR3 skutecznie zmniejsza nacisk na transfer komputera. Jest to bardzo pomocne w fotografii planetarnej, gdzie duże ilości danych często muszą być zapisywane w krótkim czasie. Niektóre z dostępnych obecnie na rynku aparatów fotograficznych do astrofotografii głębokiego nieba często mają tylko 256 MB. Jest to prawdziwe wąskie gardło i źródło błędów obrazu.

Kolor czy mono? Kamery monochromatyczne mają przewagę nad kamerami kolorowymi w postaci wyższej czułości i rozdzielczości. Jednakże, wymagają większego wysiłku do uzyskania obrazu w kolorze. Potrzebujesz do tego również filtrów kolorowych i koła filtrowego.

Dane techniczne

Wydajność


Typ czujnika
Matryca CMOS (Sony IMX568)
Wielkość czipu (mm)
6,7 x 5,6
Megapiksel
5,1
Rozmiar piksela
2,74
Zdolność rozdzielcza fotografii
2472 x 2064
Chłodzenie
nie
Interfejsy
USB3.2 Gen1 Type-C, ST-4
Podłączenie (strona teleskopu)
1,25"
Kamera kolorowa
tak
Max. czas naświetlania (min)
900
min. czas naświetlania
11µ
Klatki na sekundę
65 (Przy pełnej rozdzielczości)
Full Well Capacity
9700
Odległość fokalna kołnierza (mm)
17 adapter & 8 without adapter
Pamięć buforowa
512

Specyfika


Filtr podczerwieni
tak

Wyposażenie


Koło filtrowe
nie

Ogólnie


Waga (g)
80
Średnica (mm)
40
Długość (mm)
77,5

Zakres zastosowania


AllSky, Meteore
nie
Autoguider
tak
Księżyc & Planety
tak
Mgławice & Galaktyki
nie

Bezpieczeństwo produktów

Producent: Astrolumina, Alfred-Wirth-Straße 12, 41812 Erkelenz, DE, http://www.astrolumina.de

Zalecane akcesoria

Filtry (1)

Omegon Filtry blokujące FILTR UV/IR CUTOFF 1,25"

$ 79,00*
Astrofotografia (2)

Omegon Korektor dyspersji atmosferycznej ADC

$ 169,00*
Spektrografia & Fotometria (1)

Paton Hawksley Spektroskop Star Analyser 100

$ 219,00*

*Wszystkie ceny obejmują VAT, plus koszty przesyłki.

QHY Aparat fotograficzny 5III 568C Color

Względna czułość widmowa

QHY Aparat fotograficzny 5III 568C Color
Wymiary
QHY Aparat fotograficzny 5III 568C Color
W zestawie

Komentarze klientów

Jeszcze nie ma recenzji tego artykułu.

Napisz własną recenzję:

Masz szczegółowe pytania dotyczące zamówienia lub produktów? Prosimy o kontakt z naszym działem obsługi klienta!